Flat 50% off on all training & certification courses. Limited time offer Explore courses

Use these filters to find papers

  Question
2

The following table gives the number of aircraft accidents that occurred during the various days of the week. Find whether the accidents are uniformly distributed over the week.

  

 

This question has 0 answers so far.
1

The mean height of 500 students is 151cm and the standard deviation is 15cm. Assuming that the heights are normally distributed, find how many students heights i) lie between 120 and 155cm; ii) more than 155cm. (Given A(2.07) = 0.4808 and A (0.27) = 0.1064, where A(z) is the area under the standard normal curve from 0 to z>O]. 

This question has 0 answers so far.
0

The probability that sushil will solve a problem is 1/4 and the probability that Ram will solve it is 2/3. If sushil and Ram work independently, what is the probability that the problem will be solved by (i) both of them; (ii) at least one of them? 


This question has 1 answers so far.
0
Describe the law of conservation of energy. Find the loss of energy during the impact between two rigid bodies. This question has 0 answers so far.
0
What is the instantaneous center of rotation of a rigid body?Explain it's utility with a suitable example. This question has 0 answers so far.
0
What do mean by static and dynamic friction?Explain the advantages and disadvantages of friction. This question has 0 answers so far.
0
What are free body diagrams? Explain in brief with suitable example. Give the conditions for equilibrium of a rigid body. This question has 0 answers so far.
0
Explain the State varignon theorem and laws of dry friction. This question has 0 answers so far.
0

A random sample of 10 boys had the following 1.Q: 70, 120, 110, 101, 88, 83, 95, 98, 107,100. Do these data support the assumption of a population mean IQ of 100? [Given t0.05 for 90.f = 2.26). 

This question has 0 answers so far.
0

The means of simple samples of sizes 1000 and 2000 are 67.5 and 68.0cm respectively. Can the samples be regarded as drawn from the same population of S.D 2.5cm 

This question has 0 answers so far.
0

Derive the mean and variance of Poisson distribution.

This question has 0 answers so far.
0

iii)Find the mean The probability mass function of a variate X is

 

iii) Find the mean

This question has 0 answers so far.
0

The probability mass function of a variate X is

 

ii) Find p(x < 4), p(x 25),(36), p(x > 1)

This question has 0 answers so far.
0

The probability mass function of a variate X is

 

i) Find k

This question has 0 answers so far.
0

The contents of three ums are: I white, 2 red, 3 green balls, 2 white, 1 red, 1 green balls and 4 white, 5 red, 3 green balls. Two balls are drawn from an urn chosen at random. These are found to be one white and one green. Find the probability that the balls so drawn came from the third um

This question has 0 answers so far.
0

A committee consists of 9 students two of which are from first year, three from second year and four from third year. Three students are to be removed at random. What is the chance that (i) the three students belong to different classes; (ii) two belong to the same class and third to the different class; (iii) the three belong to the same class?

This question has 0 answers so far.
0

Using Taylor's series method, solve y' = x+y2, y(0) = 1 at x = 0.1 ,0.2, considering upto 4" degree term.

This question has 0 answers so far.
0

If  and  are the roots of  (x)=0 then prove that

 

 


This question has 0 answers so far.
0

Express fix) = x+ 2x2 - x - 3 in terms of Legendre polynomials.

This question has 0 answers so far.
0

Reduce the differential equation:

 into Bessel form and write the complete solution in terms of 

This question has 0 answers so far.
0

Discuss the conformal transformation of w=z2    

This question has 0 answers so far.
0

Find the bilinear transformation which maps 1, i, -1 to 2, i, -2 respectively. Also find the fixed points of the transformation. 

This question has 0 answers so far.
0

 Evaluate using Cauchy's integral formula   around a rectangle with vertices 

This question has 0 answers so far.
0

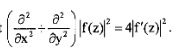
If f(z) is a regular function of 2, prove that 

This question has 0 answers so far.
0

Show that u e2x (x cos2y - y sin2y) is a harmonic function and determine the corresponding analytic function. (

This question has 0 answers so far.
0

Define an analytic function and obtain Cauchy-Riemann equations in polar form.

This question has 0 answers so far.
0

Using the Milne's method, obtain an approximate solution at the point x = 0.4 of the problem -6y = 0 given that y(0) = 1, y(0.1) = 1.03995, y(0.2) = 1.138036, y(0.3) = 1.29865, y'(0) = 0.1, y'(0.1) = 0.6955, y'(0-2)= 1.258, y'(0.3) = 1.873. 

This question has 0 answers so far.
0

Solve  = 1 + x2 and  =-xy for x = 0.3 by applying Runge Kutta method given y(0) = 0 and z(0) = 1. Take h = 0.3. 

This question has 0 answers so far.
0

Employing the Picard's method, obtain the second order approximate solution of the following problem at x = 0.2,  = x + yz, =y+zx, y(0) = 1, z(0)=-1. 

This question has 0 answers so far.
0

Using Adams-Bashforth method, obtain the solution of my = x = y2 at x = 0.8 given that y(0) = 0, y(0.2) = 0.0200, y(0.4) = 0.0795, y(0.6) = 0.1762. Apply the corrector formula twice. 

This question has 0 answers so far.
0

Using modified Euler's method, find an approximate value of y when x = 0.2 given that and y = 1 when x = 0. Take h = 0.1. Perform two iterations in each stage.

This question has 0 answers so far.