|  | Why are NAND and NOR gates known as universal gates? Implement half adder circuit using NAND gates only.
This question has 2 answers so far.
 | 
																					
												|  | Define the terms for digital circuits: (i)Speed of operations,  (ii) Figure of Merit  (iii) Noise margin.
This question has 2 answers so far.
 | 
																					
												|  | Implement the expression using a multiplexer This question has 0 answers so far. 
 | 
																					
												|  | Show state diagram of 3 bit up/down counter. Design 3 bit up/down counter using T flip-flop.This question has 0 answers so far.
 | 
																					
												|  | Simply the expressions: (a) This question has 1 answers so far. | 
																					
												|  | What is the major disadvantage of SR flip-flop? How is this addressed in JK Fip-Flop ?This question has 0 answers so far.
 | 
																					
												|  | Explain the term "logic family". Compare RTL and TTL logic. This question has 1 answers so far. | 
																					
												|  | Simplify the following expression using K-map: Y=m0 + m1 + m3 + m7 + m8 + m9 + m11 + m15This question has 1 answers so far. | 
																					
												|  | Prove the relationship: This question has 0 answers so far. 
 | 
																					
												|  | Explain  (a) J-K Flip-Flop can be converted to T Flip-Flop (b) race around conditionThis question has 0 answers so far. | 
																					
												|  | Justify the statement: "J-K Flip-Flop is a universal Flip-Flop".This question has 0 answers so far.
 | 
																					
												|  | Explain the advantage of SIPO over SISO. Discuss their applications..This question has 0 answers so far.
 | 
																					
												|  | Write short notes on any two of the following: (i) RAM & ROM  (ii) PLA
 (iii) Modulo countersThis question has 0 answers so far.
 | 
																					
												|  | Q1 Attempt any five questions:
(a) Explain Parity Generation and checking process with example. (4)
 (b) Explain Excess-3, BCD and gray codes. Convert binary 1101 to
equivalent gray code and also convert Gray code 0111 to equivalent
Binary code.
(4) 
(c) Perform the following conversions:
(3)
(i) (A3.1 E) 16 = 10
(ii) (532.03)s = ( )16
 (d) Define fan-in, fan-out, propagation delay, noise margin and voltage
parameters.
(3) 
(e) What is a D flip flop? Show how SR flip flop can be converted to D flip
flop?
(3)
 (f) Explain the working of Serial in Serial Out shift right register.(4) (g) What is binary multiplier? Discuss the multiplier using shift method. (4)
This question has 0 answers so far.
 | 
																					
												|  | Q2 (a) Design the circuit of the Boolean Equation:  Y =(A+B (A+C+D (A+B+CB using only NOR GATES.
 (b) Why NAND & NOR Gates are called Universal Gates? How an AND
Gate can be implemented using only NOR Gates?
 (c) Implement Ex-OR using NAND gates only. This question has 0 answers so far.
 | 
																					
												|  | (a) Write the truth table for following logic function: (i) F=This question has 0 answers so far. | 
																					
												|  | (a) Write the truth table for following logic function: (ii) F= M. N + M'N'P'This question has 0 answers so far.
 | 
																					
												|  | (b) Find sum-of-products expression for each of the following: (i) F= This question has 0 answers so far. x,y,z (1,3,5,6,7) | 
																					
												|  | (b) Find sum-of-products expression for each of the following:    ii) F = This question has 0 answers so far. A,B,C,D (4,5,6, 13, 15) 
 | 
																					
												|  | (c) Design a full adder, write Truth table and solve their Boolean equationThis question has 0 answers so far. | 
																					
												|  | (a) Design a Binary-to-Gray Code converter.This question has 0 answers so far. | 
																					
												|  | (b) Design a decoder circuit for seven segment display system.This question has 0 answers so far. | 
																					
												|  | (c) Design a 4:1 MUX using logic gates.This question has 0 answers so far. | 
																					
												|  | (a) Discuss the architecture of PAL.This question has 0 answers so far. | 
																					
												|  | (b) Explain various flip flops with the truth table and circuit diagram.This question has 0 answers so far. | 
																					
												|  | (a) What is race around condition? Explain.This question has 0 answers so far. | 
																					
												|  | (b) Design and explain serial-in serial-out shift Register using D-FF.This question has 0 answers so far. | 
																					
												|  | (a) Design a 4 bit Asynchronous Binary Counter. Explain it.This question has 0 answers so far. | 
																					
												|  | (b) Design and explain Johnson Counter.This question has 0 answers so far. | 
																					
												|  | (a) Draw the inter diagram of 555 timer. Explain in detail.This question has 0 answers so far. | 
																					
												|  | (b) Design a Actable multivibrator using 555 timer.This question has 0 answers so far. | 
																					
												|  | (c) Explain Resister weighted ADC.This question has 0 answers so far. | 
																					
												|  | (a) Explain organization & operation of RAM.This question has 0 answers so far. | 
																					
												|  | (b) Explain TTL logic.This question has 0 answers so far. | 
																					
												|  | (c) Discuss Propagation delay, setup and hold time.This question has 0 answers so far. | 
																					
												|  | Write short note on: (a) CMOSThis question has 0 answers so far. | 
																					
												|  | Write short note on: (b) ECL This question has 0 answers so far.
 | 
																					
												|  | Write short note on: (C) R-2R Ladder DAC.This question has 0 answers so far.
 | 
																					
												|  | Attempt any five from the following:-  (a) Design fuil subtractar circuit using NAND gate only.. 
b) Explain how transistor as a switch works? Give its use in logic circuits. 
(c) Define Can-int, fan-out, propagation delay, noise margin and voltage
parameters
 (d) Explain decoder and demultiplexer. Give their applications.  (e) State the De Morgan's theorem and prove them with an example. (f) Define synchronous and asynchronous counters with their merit and
demerits.
This question has 0 answers so far.
 | 
																					
												|  | (b) Explain the operation and advantages of CMOS.This question has 0 answers so far. | 
																					
												|  | (c) Prove This question has 0 answers so far. | 
																					
												|  | (a) Design a conbinational circuit whose input is three bit number and whose output is equal to square of input and implement it using basic gates. This question has 0 answers so far. | 
																					
												|  | (b) Explain briefly the BCD to seven segment decoder.This question has 0 answers so far. | 
																					
												|  | a) Design a full adder circuit using Multiplexer.This question has 0 answers so far. | 
																					
												|  | (b) Implement the Ex-OR gate equation with NAND gates only.This question has 0 answers so far. | 
																					
												|  | (a) Draw the logic diagram of parity checker and generator/checker. Explain its operation with the help of truth table.This question has 0 answers so far. | 
																					
												|  | (b) Design a binary multiplier for following A=1011, B=111This question has 0 answers so far. | 
																					
												|  | (a) Define edge triggering in flip flops. Explain Master slave JK Flip-flop that solves the problem.of Race-around condition, with diagram.This question has 0 answers so far.
 | 
																					
												|  | (b) Design JK flip-flop using SR flip-flop.This question has 0 answers so far.
 | 
																					
												|  | (a) Explain the bidirectional shift register with diagram, truth table and clock pulse. Give their applications. This question has 0 answers so far.
 | 
																					
												|  | (b) Differentiate Static RAM and Dynamic RAM.This question has 0 answers so far.
 | 
																					
												|  | (a) Design Modulo 7 counters with truth table and logic diagram.This question has 0 answers so far.
 | 
																					
												|  | (b) Give the application of PLA and PLD.This question has 0 answers so far.
 | 
																					
												|  | (a) Design a combinational circuit with PLA, having three inputs, four product terms and     two outputs:     F1 (A,B,C)=This question has 0 answers so far. (3,5,6,7)                      F2(A,B,C)=  (0,2,4,7) 
 | 
																					
												|  | (b) Explain Johnson's counter with truth table and clock pulses.This question has 0 answers so far. | 
																					
												|  | (a) Simplify the Boolean function F together with the don't care conditions 'D' in 9 (i) Sum of products and (ii) Product of Sums       This question has 0 answers so far.
 | 
																					
												|  | (b) Construct truth table of a BCD to, 7 segment decoder with active low outputs. This question has 0 answers so far.
 | 
																					
												|  | (a) Design a four-bit magnitude comparator using logic gate.This question has 0 answers so far.
 | 
																					
												|  | (b) Implement the Boolean function f(A,B,C,D)=IIM(1,4,5,7,10,11,13,14) using 4:1 multiplexer with active-high outputs.This question has 0 answers so far.
 | 
																					
												|  | (a) What is the use of the present and clear inputs in D Flip Flop. Design a Master Slave flip-flop with a NAND gates.This question has 0 answers so far.
 | 
																					
												|  | (b) Implement the following function using only NOR gates having a maximum fan-in of three:-  This question has 0 answers so far. | 
																					
												|  | (a) Design a multiplexer based logic circuit for a karnaugh map of three variables in which the even maxterms are Os.This question has 0 answers so far. | 
																					
												|  | (b) Simplify the logic diagram shown below            This question has 0 answers so far. | 
																					
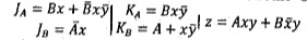
												|  | A sequential circuit has two JK flip-flops, A and B two inputs x & y and one output, z. The flip flop input functions and the circuit output
functions are as follows:      (a) Draw the logic diagram of the circuit.
 (b) Tabulate the state table
 (c) Derive the next-state equations for A and B.This question has 0 answers so far. | 
																					
												|  | (a) With the help of neat sketches, explain the operation of a MOS static RAM cell and a DRAM cell.This question has 0 answers so far. | 
																					
												|  | (b) Briefly describe propagation delay, Power dissipation, speed-power product, fanin and     noise margin parameters in logic families.This question has 0 answers so far. | 
																					
												|  | (a) Implement a 4K x8 bit RAM using 1Kx4 RAM chips. Use minimum no.of other IC chips. This question has 0 answers so far. | 
																					
												|  | (b) Explain the operation of a twisted ring and ring counters and give their state diagram. This question has 0 answers so far. | 
																					
												|  | (a) Design a binary ripple counter that counts 000 and 111 and skips the remaining six states that is .0001, 010, 011, 100, 101 and 110. Use
presentable, clearable negative edge-triggered J-K flip flops with active
low present and clear inputs. Also determine the frequency of different
flip flop outputs for a given clock frequency, fc. This question has 0 answers so far. | 
																					
												|  | (b) Implement BCD to excess 3 code converter using PLA.This question has 0 answers so far. | 
																					
												|  | (a) Find the value of x when (292)10=(1204)x .This question has 0 answers so far.
 | 
																					
												|  | (b) Prove that on AND-OR configuration is equivalent to a NAND-NAND configuration.This question has 0 answers so far.
 | 
																					
												|  | (c) Explain the operation of an edge-triggered D-type flip-flop.This question has 0 answers so far.
 | 
																					
												|  | (d) Implement EXOR gate using Minimum number of NAND gates.This question has 0 answers so far.
 | 
																					
												|  | (e) Reduce the Boolean Expression   This question has 0 answers so far. 
 | 
																					
												|  | (f) Use 2's complement to perform M-N with given binary Nos.      M=11010            N=1101This question has 0 answers so far. | 
																					
												|  | (g) Differentiate between Racing and Toggling in Flip flops.This question has 0 answers so far. | 
																					
												|  | (h) What is the difference between Asynchronous and synchronous
sequential circuits. This question has 0 answers so far. | 
																					
												|  | (i) Explain the working of Universal shift register.This question has 0 answers so far. | 
																					
												|  | (j) Obtain a 16:1 multiplexer using two 8:1 multiplexers, one inverter and one two input OR gate.This question has 0 answers so far. | 
																					
												|  | What is De-multiplexer? Explain the difference between MUX and DEMUX.This question has 0 answers so far.
 | 
																					
												|  | Explain ripple counter. What's the difference between ripple counter and synchronous counter?
This question has 1 answers so far.
 | 
																					
												|  | Explain deMorgan's theorem. Prove the following using De Morgan's theorem:  This question has 0 answers so far. 
 | 
																					
												|  | Implement EX-OR and EX-NOR gate using only NOR gates. This question has 0 answers so far. | 
																					
												|  | Explain even parity and odd parity. Design a circuit for even parity generator for 3-bit message.This question has 0 answers so far. | 
																					
												|  | Show block diagram of a 3 bit parallel binary adder.This question has 0 answers so far. | 
																					
												|  | Explain the binary multiplication method using the example (1010x1011)This question has 0 answers so far. | 
																					
												|  | Design a 3:8 decoder using basic logic gatesThis question has 0 answers so far. | 
																					
												|  | Design a S-R latch using 2-input NOR gatesThis question has 0 answers so far. | 
																					
												|  | Explain master-slave flip-flopThis question has 0 answers so far.
 | 
																					
												|  | Explain the advantage of SIPO over SISO. Discuss their applications.This question has 0 answers so far.
 | 
																					
												|  | Explain the advantage of SIPO over SISO. Discuss their applications..This question has 0 answers so far.
 | 
																					
												|  | Explain the advantage of SIPO over SISO. Discuss their applications.This question has 0 answers so far.
 | 
																					
												|  | Explain the advantage of SIPO over SISO. Discuss their applications.This question has 0 answers so far.
 | 
																					
												|  | Explain the advantage of SIPO over SISO. Discuss their applications..This question has 0 answers so far.
 | 
																					
												|  | Explain the advantage of SIPO over SISO. Discuss their applications.This question has 0 answers so far.
 | 
																					
												|  | Explain the advantage of SIPO over SISO. Discuss their applications..This question has 0 answers so far.
 | 
																					
												|  | What is Bi-directional Flip-Flop?This question has 0 answers so far.
 | 
																					
												|  | How ripple counter works?This question has 0 answers so far.
 | 
																					
												|  | How ripple counter works?This question has 0 answers so far.
 | 
																					
												|  | Define ring counter.This question has 0 answers so far.
 |